 |
#1 - 08-11-2009 21:24:02
- Damnation
- Professionnel de Prise2Tete
- Enigmes résolues : 24
- Messages : 208
x² &gr; 15,09
Bonsoir, Même si l'énigme est placée dans Logique, sachez que c'est un mélange de Logique et de cryptage : ) Voici l'énoncé :
X² > 15,09
INDICE 1 : Test de fiabilité INDICE 2 : http://www.prise2tete.fr/upload/Damnati … 57f3b4.png INDICE 3 : Réponse Cryptée
Bonne chance.
Réponse sous la forme "CHIFFRE" "CHIFFRE" "LETTRE" "SYMBOLE" "LETTRE"
#2 - 08-11-2009 21:32:38
- piode
- Cacografe de Prise2Tete
- Enigmes résolues : 28
- Messages : 1680
- Lieu: Sur le dos d'une autruche
X² > 15,0
??????????
"Être une enzyme avec fonction hydrolyse, mais ne pas savoir comment si prendre ..."
#3 - 08-11-2009 22:09:48
- MthS-MlndN
- Hors d'u-Sage
- Enigmes résolues : 49
- Messages : 12,414E+3
- Lieu: Rouen
X² > 15,09
...rien compris 
Podcasts Modern Zeuhl : http://radio-r2r.fr/?p=298
#4 - 08-11-2009 22:18:02
- kosmogol
- Banni
- Enigmes résolues : 49
- Messages : 11,928E+3
x² &gy; 15,09
ou si pas de réponse correcte ?
http://enigmusique.blogspot.com/
#5 - 09-11-2009 05:57:09
- Damnation
- Professionnel de Prise2Tete
- Enigmes résolues : 24
- Messages : 208
c² > 15,09
@ Kosmo. Si pas de réponse correct
#6 - 09-11-2009 23:20:04
- Vasimolo
- Le pâtissier
- Enigmes résolues : 49
- Messages : 5,448E+3
X² &tg; 15,09
Ouhw !!! Ca rappelle le test du khi2 ( horribles souvenirs ) 
Vasimolo
#7 - 09-11-2009 23:32:11
- EfCeBa
- Administrateur
- Enigmes résolues : ∞+1
- Messages : 3×2087
X² &> 15,09
Je viens de lire l'indice 1, je pense qu'il s'agit du test du χ² seulement j'en ignore les paramètres... attendons l'indice 2 
#8 - 10-11-2009 02:56:24
- NickoGecko
- Elite de Prise2Tete
- Enigmes résolues : 49
- Messages : 1823
X > 15,09
Il doit s'agir du test du Khi^2 de Pearson, dont les tables de seuils (p,d) donnent :
p(Khi^2 > 15,09) = 0,01 pour d=5
i.e : La probabilité p d'avoir Khi2 > seuil de 15,09 est de 0,01 pour d=5 degrés de liberté.
Il aurait pu pleuvoir, con comme il est ! (Coluche)
#9 - 10-11-2009 06:26:55
- kosmogol
- Banni
- Enigmes résolues : 49
- Messages : 11,928E+3
X² &ggt; 15,09
P(KHI2>15,09)=0,01 pour 5 degrés de liberté
http://enigmusique.blogspot.com/
#10 - 11-11-2009 13:49:43
- Damnation
- Professionnel de Prise2Tete
- Enigmes résolues : 24
- Messages : 208
x² &ht; 15,09
La réponse doit être crypté (Juste pour rendre ceci un peu plus difficile). Un autre indice, X² > 15,09 correspond dont à un test de fiabilité (Indice1). Mais la fiabilité de quoi ? Une fois que vous aurez trouver cela, cryptez votre réponse sous la forme indiqué dans l'énoncé.
#11 - 11-11-2009 21:59:00
- Damnation
- Professionnel de Prise2Tete
- Enigmes résolues : 24
- Messages : 208
X² > 115,09
J'ai mis les 2 indices principaux ! A vous de jouer. Je donnerai la réponse demain soir.
#12 - 13-11-2009 18:28:30
- Damnation
- Professionnel de Prise2Tete
- Enigmes résolues : 24
- Messages : 208
² > 15,09
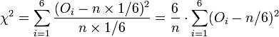
Eh bien j'en viens donc à la réponse, oui c'était un peu tordu =) Ce que j'attendais était en fait "71D<PI>P", en clair, "C'est un dé pipé" Un dé est dit pipé si X² (http://www.prise2tete.fr/upload/Damnati … 57f3b4.png) est supérieur ou égal à 15,09. Voir Wikipédia =) Voilà je crois c'était un peu trop tordu, ou je ne donnais pas assez d'information, désolé : )
Byebye !
#13 - 13-11-2009 19:08:25
- Vasimolo
- Le pâtissier
- Enigmes résolues : 49
- Messages : 5,448E+3
#14 - 13-11-2009 19:23:09
- kosmogol
- Banni
- Enigmes résolues : 49
- Messages : 11,928E+3
X² gt; 15,09
Quelques indices supplémentaires auraient été les bienvenus.
Nota : un petit pb sur ton dernier lien
http://enigmusique.blogspot.com/
#15 - 13-11-2009 21:15:43
- Damnation
- Professionnel de Prise2Tete
- Enigmes résolues : 24
- Messages : 208
X² > 15,90
Ah oui. Je voulais remettre le lien de l'énoncer : )
Mots clés des moteurs de recherche
|
 |