Enigmes

Forum dédié aux énigmes et à toutes formes de jeux de logique.

Déconnexion

Tu n'es pas identifié sur Prise2tete : s'identifier.

accueil Accueil forum Forum
[+]

 #1 - 07-03-2010 18:00:03

FRiZMOUT
Verbicruciste binairien
Enigmes résolues : 49
Messages : 2218

fastauch 4 : roméo &alp; juliette - 7 différences

Bonsoir à tous !

Résumé des épisodes précédents :
FastAuch : Mots croisés.
FastAuch 2 : Drôle de croix.
FastAuch 3 : Ronde des mots - Logiroute.


Cette fois, ce n'est pas une mais DEUX pages que je vous offre ! La page 6 et la page 7 !
(bon en fait, ça ne fait que deux jeux, comme la dernière fois, mais chut)


Bon, je vais essayer d'éviter les blablas inutiles :

Premier jeu : très facile avec un mot à trouver qui cette fois fonctionne sur le site web de FastAuch (wouhou une belle image) - encore faut-il trouver le bon !

Deuxième jeu : encore plus basique en lui-même mais le mot est bien plus complexe à trouver (que ne ferions-nous pas pour obtenir de belles images) !

Je vous aide un peu : une des différences est plus qu'utile pour comprendre comment faire puisqu'elle vous offre un clueword - enfin un "mot-indice" quoi.

Bref il faut bien tout observer et cogiter. Je suis fier de moi d'avoir trouvé tout seul (oui je m'envoie des fleurs).
Je ne vous en dis pas plus pour le moment, si vous avez des questions, n'hésitez pas à les poser par MPs !


Pour obtenir les images, c'est comme d'habitude, complétez le lien suivant avec les mots trouvés :

http://www.prise2tete.fr/upload/FRiZMOUT-********.png .


À vous les studios !

  • |
  • Répondre

#0 Pub

 #2 - 07-03-2010 18:16:04

MthS-MlndN
Hors d'u-Sage
Enigmes résolues : 49
Messages : 12,414E+3
Lieu: Rouen

FastAuch 4 : Roméo & Juliiette - 7 différences

Pour la page 6, je trouve les Juliettes sur les cases A3, B3, C1, D7, F6, H1, H7 et H9 (en numérotant les lignes de A à J et les colonnes de 1 à 10). Je ne sais pas encore quoi en faire, mais j'ai une petite idée... Je vais aller fouiller les épisodes précédents smile

Pour la page 7, j'ai les sept différences :

L'inscription TREE devient QUAD sur la chaise
Le pivert disparaît
La montre de la femme aussi
La couleur de son élastique change
Le nuage de gauche disparaît
La rose aussi
La couleur du casque de l'aviateur change

Et je ne vois pas du tout à quoi ça peut bien mener lol


Podcasts Modern Zeuhl : http://radio-r2r.fr/?p=298

 #3 - 07-03-2010 18:23:47

emmaenne
Elite de Prise2Tete
Enigmes résolues : 49
Messages : 3073
Lieu: Au sud du Nord

fastauch 4 : roméi & juliette - 7 différences

http://img638.imageshack.us/img638/9202/frizmoutpage6.jpg

http://www.prise2tete.fr/upload/FRiZMOUT-bigorneau.png

http://img230.imageshack.us/img230/842/frizmoutpage7.jpg

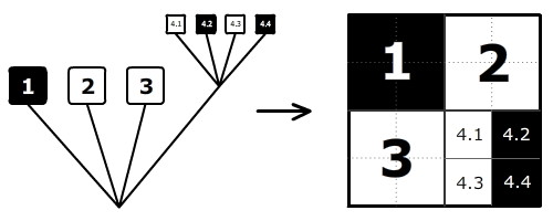
avec les différences je vois que l'on parle d'arbres quaternaires, tout comme les grilles du bandeau de l'avion.

ce qui donne

http://img56.imageshack.us/img56/5825/quadtree.jpg

et comme à l'habitude

http://www.prise2tete.fr/upload/FRiZMOUT-heron.png


Dans le cadre de la quinzaine du beau langage, ne disez pas disez, disez dites. (Julos Beaucarne)

 #4 - 07-03-2010 19:39:58

celina58
Expert de Prise2Tete
Enigmes résolues : 49
Messages : 566

FastAuch 4 : Roméo a∓ Juliette - 7 différences

http://www.prise2tete.fr/upload/celina58-fastauch6.gif

http://www.prise2tete.fr/upload/celina58-fastauch7.gif

Je vois bien les mots quadtree mais google ne m'éclaire pas vraiment.

Je cherche les deux mots.

 #5 - 07-03-2010 20:59:43

foldingo83
Elite de Prise2Tete
Enigmes résolues : 49
Messages : 1923
Lieu: Somewhere in time...

FastAuch 4 : Roméo & Juliette - 7 différencs

Alors j'ai fait les jeux:
page 6:
http://img408.imageshack.us/img408/9498/juliette.png
Le Bigorneau
http://www.prise2tete.fr/upload/FRiZMOUT-bigorneau.png


page 7:
http://img408.imageshack.us/img408/1391/difference.png
J'ai trouve le mot "quadtree" et essayé de l'interpreté:
http://img97.imageshack.us/img97/9791/quadtree.png
Eureka ! j'en tiens un:
Le heron
http://www.prise2tete.fr/upload/FRiZMOUT-heron.png
J'ai fini !!! Ouf big_smile
C'était pas sans mal.

Bravo pour ton énigme.

 #6 - 09-03-2010 19:28:20

emmaenne
Elite de Prise2Tete
Enigmes résolues : 49
Messages : 3073
Lieu: Au sud du Nord

FastAuch 4 : Rméo & Juliette - 7 différences

Un petit Up pour dire bravo  big_smile


Dans le cadre de la quinzaine du beau langage, ne disez pas disez, disez dites. (Julos Beaucarne)

 #7 - 09-03-2010 23:02:07

moicestmoi
Elite de Prise2Tete
Enigmes résolues : 48
Messages : 1617
Lieu: Avec vous :-)

FasttAuch 4 : Roméo & Juliette - 7 différences

Pour le moment, j'ai rempli les pages 6 et 7 mais je n'ai pas encore trouvé ce qu'on doit en faire...

http://www.prise2tete.fr/upload/moicestmoi-FRiZMOUT-page6remplie.jpg
http://www.prise2tete.fr/upload/moicestmoi-FRiZMOUT-page7remplie.jpg


Sur le banc on peut lire 2 mots QUAD et TREE.
Et j'observe l'arbre avec son joli pic-vert...
et je dois trouver un mot de 8 lettres...

EDIT DU LENDEMAIN
Toujours pas l'idée lumineuse:mad:mad

EDIT DU SURLENDEMAIN
avec ta nouvelle image suivante
http://www.prise2tete.fr/upload/FRiZMOUT-quadtree.png
et bien... je ne trouve pas pour le moment non plus.


L'angle droit bout à 90 degrés.

 #8 - 10-03-2010 14:57:04

Flying_pyros
Sage de Prise2Tete
Enigmes résolues : 48
Messages : 3418
Lieu: Près de la mer

FastAuch 4 : Roméo &; Juliette - 7 différences

http://www.prise2tete.fr/upload/Flying_pyros-Friz-Fastauch4.PNG

Comme d'hab', c'est super bien présenté et comme d'hab', je ne trouve rien après... big_smile
Pour le 1er, pas d'idée...
Pour le second, je vois indiqué sur les bancs QUAD et TREE et, miracle le mot QUADTREE existe...big_smile

Wiki a écrit:

Un quadtree est une structure de données de type arbre dans laquelle chaque nœud peut compter jusqu'à quatre fils. Les quadtrees sont le plus souvent utilisés pour partitionner un espace bidimensionnel en le subdivisant récursivement en quatre nœuds.

j'ai bien essayé de relier les points des différences de différentes manières mais je ne trouve toujours rien de concluant...hmm

Bon, je ne sais pas ce que j'ai foutu mais j'avais essayer Quadtree en lien et ça ne marchait pas...Alors que si, en fait...roll

http://www.prise2tete.fr/upload/FRiZMOUT-quadtree.png

A suivre...

 #9 - 12-03-2010 01:40:57

FRiZMOUT
Verbicruciste binairien
Enigmes résolues : 49
Messages : 2218

FastAuh 4 : Roméo & Juliette - 7 différences

Très grand bravo à foldingo83 et emmaenne qui sont venus à bout de cette énigme !

Petits indices pour les autres participants, en espérant que ça incite d'autres joueurs à participer eux aussi !

Les deux pages sont indépendantes entre elles ET des épisodes précédents, à ceci près que la "méthode de lecture" est toujours la même qu'auparavant.

Pour la deuxième étape, j'ai ajouté une image indice ici :
http://www.prise2tete.fr/upload/FRiZMOUT-qu****ee.png

Bonne chance !

 #10 - 12-03-2010 07:42:01

kosmogol
Banni
Enigmes résolues : 49
Messages : 11,928E+3

FastAuch 4 : Roméo & Juliette - 7 différeences

Que la 1ere énigme de trouvée : je croyais en mes chances d'améliorer mon score, mais après avoir placé les Juliette, je n'ai pas d'idée.

Quant aux différences, je n'en ai que 5 :
rose, pic-vert, nuage, montre, élastique !


http://enigmusique.blogspot.com/

 #11 - 13-03-2010 21:14:41

kosmogol
Banni
Enigmes résolues : 49
Messages : 11,928E+3

FastAuch 4 : Roméo & uliette - 7 différences

Ce que j'aime bien avec les énigmes de FRiZ, Arak et autres aliens, c'est que même avec la solution on ne comprends rien winkwinkwink


http://enigmusique.blogspot.com/

 #12 - 13-03-2010 22:01:42

MthS-MlndN
Hors d'u-Sage
Enigmes résolues : 49
Messages : 12,414E+3
Lieu: Rouen

fastauch 4 : roméo & julietre - 7 différences

Grave. Rien pigé à la fin lol


Podcasts Modern Zeuhl : http://radio-r2r.fr/?p=298

 #13 - 13-03-2010 22:02:16

FRiZMOUT
Verbicruciste binairien
Enigmes résolues : 49
Messages : 2218

fastauxh 4 : roméo & juliette - 7 différences

Comme une image vaut souvent mieux qu'un long post, voici en gros les déductions à suivre pour résoudre l'énigme :
page6, page7

En espérant vous avoir éclairés tongue

 #14 - 13-03-2010 22:27:15

MthS-MlndN
Hors d'u-Sage
Enigmes résolues : 49
Messages : 12,414E+3
Lieu: Rouen

FastAuch 4 : Roméo & Julieette - 7 différences

Deux remarques :

1) c'était franchement faisable, je suis dégoûté de ne pas être arrivé au bout

2) tu es génial !


Podcasts Modern Zeuhl : http://radio-r2r.fr/?p=298

 #15 - 13-03-2010 22:51:15

kosmogol
Banni
Enigmes résolues : 49
Messages : 11,928E+3

FastAuch 4 : Roméo & Juiette - 7 différences

FRiZMOUT a écrit:

Comme une image vaut souvent mieux qu'un long post, voici en gros les déductions à suivre pour résoudre l'énigme :

Finalement les longs posts ça a du bon yikes


En espérant vous avoir éclairés tongue

Non, mais j'ai l'habitude lol


http://enigmusique.blogspot.com/

 #16 - 13-03-2010 23:02:13

moicestmoi
Elite de Prise2Tete
Enigmes résolues : 48
Messages : 1617
Lieu: Avec vous :-)

fastauch 4 : roméo & julietye - 7 différences

C'est joli comme tout mais personnellement j'avais bien compris qu'il fallait reporter les cases sur d'autres ayant des lettres... mais où là trouves-tu cette grille là ??????
J'ai cru comprendre qu'il s'agit de la page 3 mais je ne l'ai pas trouvée yikes
Merci pour ta réponse... et prépare nous les pages suivantes smile


L'angle droit bout à 90 degrés.

 #17 - 13-03-2010 23:11:51

FRiZMOUT
Verbicruciste binairien
Enigmes résolues : 49
Messages : 2218

FastAuch 4 : Roméo & Julietet - 7 différences

La grille est la transcription de l'arbre (quadtree -> image), si on parle bien de la même.

 #18 - 13-03-2010 23:25:07

moicestmoi
Elite de Prise2Tete
Enigmes résolues : 48
Messages : 1617
Lieu: Avec vous :-)

fastauch 4 : roméo &alp; juliette - 7 différences

Non, où est la grille de base ?: celle où il y a les lettres et donc sur laquelle on reporte les nouvelles grilles qu'on a créé


L'angle droit bout à 90 degrés.

 #19 - 13-03-2010 23:47:40

FRiZMOUT
Verbicruciste binairien
Enigmes résolues : 49
Messages : 2218

FastAuch 4 : Romoé & Juliette - 7 différences

Il n'y a pas de grille de base. Il n'y a pas réellement de lettres à placer, j'en ai mis dans toutes les cases pour illustrer mais il suffit en fait de compter le nombre de cases contiguës et d'y attribuer la lettre correspondante. C'est la même méthode de lecture que précédemment. Regarde mes images de solutions de plus près, tu comprendras !

 

Réponse rapide

Rédige ton message
| | | | Upload | Aide
:) :| :( :D :o ;) :/ :P :lol: :mad: :rolleyes: :cool:
Sécurité

Répondez (numériquement) à la petite énigme suivante : 

Dans une course, vous doublez le 42ème, en quelle position êtes-vous ?

Mots clés des moteurs de recherche

Mot clé (occurences)
Bigorneau (380) — Le bigorneau (229) — Les 7 differences (42) — Un bigorneau (40) — Resume de romeo et juliette en 10 lignes (34) — 7 differences (20) — Mots meles romeo et juliette (15) — Jeu des 7 differences (12) — Les 7 differents (12) — Image de 7 difference (10) — Jeu des differences (9) — Tete de bigorneau (9) — Les 7 differences facile (8) — Des jeux sur les 7difference (7) — Le bigorneaux (7) — Trouver 7 difference (7) — Jeux 7 differences (7) — Jeux des 7 differences (7) — Trouve les 7 differences (7) — Bigourneau (6) — Jeu de 7 difference (6) — Diff2rents images (5) — Enigme romeo et juliette (5) — Recherche sur les septs deffirences (5) — Jeu 7 differences (5) — Images avec des differences (5) — Images les 7 difference (5) — Le 7 differences (5) — Les 7 differences difficile (5) — Jeux de 7 difference (4) — Un image de 7 difference (4) — Les images de7 differences (4) — Resume de romeo et juliette en 5 lignes (4) — Romeo et juliette resume (4) — Les sept differences (4) — Enigme 7 differences (4) — Jeux des 7 difference (4) — Trouver les differences (4) — Trouver les 7 differences (4) — Heron (4) — Difference entre romeo et juliette (4) — Trouver les difference (4) — Romeo et juliette mots croises (4) — Jeu des 7 differences facile (4) — Des images de les 7 differences (3) — Romeo et juliette en 10 ligne (3) — La regle des 7 differences (3) — Romeo et juliette (3) — Les 7 differences avec solution (3) — Les 7 differences en photo (3) — Trouver les differences dans les photo (3) — Devinette romeo et juliette (3) — Les 7 difference facile (3) — Trouver 7 differences (3) — Mots croises romeo et juliette (3) — Quadtree (3) — C est quoi les sept differences (3) — Les images de 7 differences (3) — Jeu romeo et juliette mots croise (3) — Enigme de difference en image (3) — Photo d un bigorneau (3) — Jeux les sept differences (3) — Recherche 7 difference (3) — C est quoi le jeu 7 difference (3) — Www.le7differences.fr (3) — Fr.photo du heron (3) — Jeux des sept difference (3) — 7 differences facile (3) — Differences entre romeo et juliette (3) — Image les 7 differences (2) — Jeux de difference et leurs solutions (2) — Trouver les 7 differences facile (2) — Resumee 5 ligne romeo et juliette (2) — 7 differences image (2) — Jeux des 7differents (2) — Le jeu de romeo et julliette (2) — Resume de romeo et juliette 10 lignes (2) — Regle du jeu romeo et juliette (2) — Les septs difference (2) — Difference photo enigme 1 bis (2) — Le bigorneau photo (2) — Resume romeo juliette 5 lignes (2) — Resume de romeo et juliette de 5 a 6 lignes (2) — Romeo et juliette differences (2) — Deux images avec 7 differences (2) — Photo le bigorneau (2) — Enigme de difference dure (2) — Comme un bigorneau (2) — Deux image en 7 differences (2) — 7 differences photos (2) — Difference entre romeo et juliet (2) — Image d un bigorneau (2) — Une jeux des 7 differences et la solution (2) — Le but de jeux de7 deferences (2) — Resume romeo et juliette 5 lignes (2) — Les 7 different (2) — Un resume de romeo et juliette en 10 lignes (2) — Illustration d un bigorneau (2) — Deux image ou il ya 7diffirences (2) — Jeu de sept differences (2) — Grand bigorneau (2) — Les 7 differences expert (2) — Difference romeo et juliette (2) — Cree les images sur l arbre quadtree (2) — Beau bigorneau (2) — Trouvez les 7 differences (2) — Mot croise romeo and juliet (2) — Enigme differences (2) — 7 differents de image (2) — Site jeux de 7 differences (2) — Jeux romeo et juliette 7 differences (2) — Trouvez les sept differences sur l image (2) — Resume 5 lignes romeo et juliette (2) — Image avec les 7 differences (2) — Des photos du 7 differences (2) — Foto fri fait (2) — Resume de romeo et juliette en 4 ligne (2) — Jeux de 7 differences (2) — Jeux de 7 differents (2) — Le jeu des differences tres facile (2) — Image avec 7 difference (2) — Comment creer le jeu des 7 differences (2) — 7 difference (2) — Resume 5 lignes sur romeo et juliette (2) — (2) — Heron tete (2) — Les sept differences avec les sollution (2) — Image 7 difference (2) — Les 7 difference (2) — Le jeu les 7 differents (2) — Jeux de difference complique (2) — Image avec sept differences (2) — Des image de les jeux de 7 differences (2) — Las 7 difference (2) — +jeu des sept differences (2) — Mots croises droles (2) — Romeo et juliette resume en 10 lignes (2) — Jeu 7 difference (2) — Romeo et juliette difference avec romeo + juliette (2) — 4 differences (2) — Les7 differents (2) — Les jeux des 7 difference (2) — 7 differences arbre (2) — Les 7 deferents de (2) — Les bigorneau (2) — Les regles du jeu les 7 differences (2) — Bigorneau filterui:imagesize-large (2) — Resume de romeo et juliette en 20 lignes (2) — Photo les sept differences (1) — Jeux de sept differences avec indices (1) — Differents sorte de romeo et juliette (1) — Jeu 7 difference repons (1) — Resume de la legende de romeo et juliette en 5 lignes (1) — Resumer en 10 lignes de romeo et juliette (1) — Des jeux flash des 7 difference poure grand (1) — 58 (1) — Jeu de differnce juliette (1) — Resume de quatre lignes de romeo et juliette (1) — Romeo et juliette resume court (1) — Romeo et juliette 1 (7) (1) — Jeu 7 differences en ligne (1) — Devinette sur romeo et juliette (1) — 2 images de 7 differences (1) — Romeo et juliette les differences (1) — 7 difference tres facile (1) — Un image en 7 diference (1) — Etape a suivre pour trouver les 7 differences entre 2 images (1) — Resume de romeo et juliette en 5 ligne (1) — C est quoi 7 differences (1) — Mots croises point de croix (1) — Mathematiques troisieme romeo et juliette (1) — Lebigorneau (1) — Les 7 differences : resume (1) — Beau heron ou bel heron (1) — 7 differences en ligne (1) — Jeux de differences et leur solutions (1) — 7 diffirences (1) — Jeux en ligne des differences entre deux images (1) — Resume 5 lignes romeo juliette (1) — E romeo et julietteenigme d (1) — Devinettes romeo et juliette (1) — Sol #7 (1) — Jeux des 7 differences en couleur (1) — 7differances en line (1) — Resume de romeo et juliette en 5 lignes forum (1) — Les 7 differences avec leur solutions (1) — Jeux des 7 differences en ligne (1) — Les7 different (1) — Jeux 7 difference (1) — Arbre de romeo et juliette (1) — Enigme mathematique de romeo et juliette (1) — Jeux de sept differences avec solutions (1) — Photo de 7 differences (1) — Romeo est juliet resume de 4 ligne (1) — Resume de romeo et juliette en 6 lignes (1) — Jeux des 7 differences de romeo et juliette (1) — Jeu 7 differences avec mots (1) — Quoi le jeu des 7 differences (1) — Jeux des sept diffirences avec sollution (1) — Enigme de romeo et julliette (1) — Les images de sept differences photos (1) — Trouver les 7 difference entre 2 image (1) — Photo de 7 difference (1) — Commen prepare unne jeut du 7 deferances (1) — Regles du jeu la ronde des mots (1) — 7 diff?nces (1) — Images 7 difference repons (1) — Jeu 7 difference complique (1) — Les sept differences facils (1) — Sept differences (1) — Le bigorneau image (1) — Le image de 7 differences (1) — Jeu des 7 differences romeo et juliette (1) — Soluce jeu romeo et juliette (1) — Un bulot (1) — Regle du jeu trouver les diff2rence (1) — Arbre image(quadtree) (1) — Les jeux des 7differences (1) — Je suis un bigorneau (1) — Mots croises wikipedia (1) — Les 7 defferences 2010 (1) — Enigme relier point couleur (1) — Les 7 difference avec solution (1) — Image avec difference (1) — Les methodes l arbre quadtree pour les images (1) — La regle du jeu 7 differences (1) — Jeux de romeo et juliette 7 (1) — Les sept differences pour grand (1) — Jeux de romeo et juliette 6 differences (1) — Regle du jeu de 7 difference (1) — Resume de 5 lignes sur romeo et juliette (1) — Jeux de difference (1) — Resume de 3 a 4 ligne de romeo et juliette (1) — Jeux en ligne romeo et juliette (1) — Resume romeo et juliette 3 linge (1) — Jeux les 7 difference avec un arbre (1) — 2 image en 7 difference (1) — Les differences a romeo et juliette? (1) — Image de 7 different (1) — Enigme de romeo et juliette avec la reponse (1) — Jeu des 7 differences expert (1) — Creer une image de moi 7 difference (1) — Romeo ou juliette mot fleche (1) — L arbre quaternaire avec les images (1) — Jeux des differences (1) — Regle du jeu de sets diferences (1) — Differences (1) — Enigme des differences (1) — Heron wiki (1) — Mot croise romeo et juliette (1) — Le jeu des 7 differences (1) — La ragle les 7 differences (1) — Le but du jeu des 7 difference (1) — 7 deffereans (1) — Jeu des differences en ligne (1) — Jeux des 7 difference photo (1) — Differences romeo juliette (1) — Romeo et juliette en ligne (1) — Jeux de romeo et juliette (1) — Differences of juliet with romeo (1) — Resume romeo et juliette en 4 ligne (1) — La difference entre romeo et juliette (1) — 7 differences expert (1) — Romeo et juliette forum (1) — Les 7 differences et leurs solution (1) — Photo bigorneau (1) — Enigme jeu des 7 differences (1) — Difference romeo+juliette (1) — Jeu de 7 difference complique (1) — Trouver les differences facile (1) — Les 7 differences compliquer (1) — Resume de 5 lignes romeo et juliette (1) — 7 differences moissonneuse (1) — Les image de 7 differences (1) — Image 7 difference difficile (1) — Le jeu7 differences (1) — Photos bigorneau (1) — Jeux 6 7 differences photos (1) — Image le 7 difference (1) — Coment il recherche le 7 differences (1) — Lire les mots (1) — Les 7 differences dans 2 images (1) — Site pour les 7 difference images (1) — Jeux enigme 7 difference (1) — 7 differences avions (1) — Enigmes les differences (1) — Resumer en 5 lignes de romeo et juliette (1) — Jeux de romeo et juliette 4 (1) — Petit resume 3 a 4 ligne de romeo et juliette (1) — 10 ligne sur romeo et juliette (1) — Jeu ligne differences enigmes (1) — Image de joli heron (1) — Le jeux des 7 differences poure les grand de 7 en (1) — Differences avec romeo et juliette (1) — La regle de jeu les7 defirentces (1) — Les 7 differences wikipedia (1) — Romeo et juliette en 10 lignes (1) — Trouvez les 7 differences entre de page (1) — Mot croises sur romeo et juliette (1) — Les 7 differences et leurs solution wikipedia (1) — Etapes pour realiser un jeu de 7 differences (1) — Creer jeux des 7 differences (1) — Jeu 7 differences expert (1) — But du jeux de sept difference (1) — Julos beaucarne (1) — Photos avec 7 differences (1) — Jeux de difference expert (1) — Differences romeo et juliette et romeo + juliette (1) — Jeux de trouve les differentes dimages (1) — Les sept differences images complique (1) — Regle du jeux de romeo et juliette (1) — Images 7 differences (1) — Www.jeux 2 7differances.fr (1) — Enigme romeo and juliet (1) — Enigme ou il faut trouver les 7 difference (1) — Jeux des 7differences avec des lettre (1) — Jeu les 7 differences (1) — Regles de jeu de 7 differences wiki (1) — Les 7deffirences (1) — Jeu des 7 difference juliette (1) — Le 7 differences + solutions (1) — Solution jeu romeo et juliette (1) — Jeux de difference de romeo (1) — Resume romeo et juliette cinq lignes (1) — Jeu de enimge chercher les differences (1) — Une image de 7 difference (1) — Photos 7 differences (1) — Court resume de romeo et juliette 6 lignes (1) — Les 7 differences sur photo (1) — Resume en 3 lignes romeo et juliette (1) — Resume de romeo (1) — Romeo et juliette resume de 10 lignes (1) — Resume en 3 ligne de romeo et juliette (1) — Romeo et juliette les points de defferences (1) — Montre moi les7 differences d une image (1) — Mots fleches romeo et juliette (1) — Les 7 differences photo (1) — Jeu enigme romeo et juliette (1) — Les 7 differences ce quoi (1) — Gros cle sol (1) — Deux images 7 differences (1) — Les devinettes sur romeo et juliette (1) — Cherche jeu des 7 differences en ligne (1) — Des images ayant 7 differents (1) — Difference entre les 2 version de romeo et juliette (1) — Mot croise: romeo et juliette 7 lettres (1) — 7differances (1) — Romeo and juliet mot croise (1) — 7 differences tres facile (1) — Mots croises faciles (1) — Resume de romeo & juliette 5 a 6 lignes pas (1) — Les sept differences jeu d observation (1) — Photo image romeo et juliette (1) — Jeu 7 difference entre 2 image (1) — Comment faire les 7 differences (1) — Jeu de differencesen ligne (1) — Jeux des indices pour trouver les 7 differences (1) — Site pour faire des mots croises et 7 differences (1) — Jeux diff?nces (1) — Enigmes romeo juliette (1) — Resume romeo et juliette en 10 ligne (1) — Les 7 difference entre les photo (1) — Mots caches romeo et juliette (1) — Les sept differences avec solution (1) — Trouver les sept differences (1) — Images sur les 7differences (1) — Enigme les differences (1) — Jeux deferances (1) — Image (1) — Comment prepare une jeux du 7 deferances (1) — Romeo et juliette 1 (7) (1) — L arbre de romeo et de juliette (1) — Jeux des 7 differences expert (1) — Les regles de jeu 7 difference (1) — Difference romeo et juliette (1) — Combien ya t-il de lieux differents dans romeo et juliette? (1) — Romeo et juliette toutes les enigmes sur eux (1) — Mots meles sur le linge (1) — Dix mots clef pour resumer romeo et juliette (1) — Comment faire le jeu des differences dans une photo? (1) — Jeu images avec 7 differences (1) — Cherchez les differences (1) — Solveur scrabble (1) — Comment realiser le jeu de 7 differance (1) — Jeux ou il faut retrouver les 7 differences (1) — La regle du jeu les 7 differences (1) — Romeo et juliette resume 5 ligne (1) — Les image de 7 differences (1) — Les pages 7 deffirences (1) — Une image de sept differences (1) — Images bigorneau (1) — Le jeux de7difference (1) — C est quoi les 7 differences (1) — Romeo and juliet difference (1) — 2 photos avec sept differences (1) — Resume de romeo et juliette 5 ligne (1) — Les 7 difference difficile (1) — Resume 5 lignes de romeo et juliette (1) — Les 7differences (1) — Les sept differents (1) — Les 7 differences rome (1) — Regle du jeux 7 difference (1) — Les sept difference (1) — Enigme difference et mot mele pour petit (1) — Image le bigorneau (1) — Romeo et juliet mot croise (1) — Enigme mathematique romeo et juliette (1) — Trouver les 7 differences dimages (1) — Romeo and juliet mots croises (1) — Enigme sur la difference (1) — Jeux romeo et juiette (1) — Banc romeo et juliette (1) — Les 7 differences image (1) — Enigme pour divergences (1) — Trouve les difference enigmes (1) — Jeu 7 differences arbre (1) — 7jeux7 (1) — J aime les bigorneau (1) — Regle de 7 differences (1) — Romeo et juliette resume en 3 ligne (1) — Jeux des septs differences (1) — Trouver les differences+jeu (1) — Jeu de 7 difference en ligne (1) — Les 7deferances (1) — Jeux 7difference (1) — Les 7 difference expert (1) —

Pied de page des forums

P2T basé sur PunBB
Screenshots par Robothumb

© Copyright 2002–2005 Rickard Andersson

Prise2Tete Forum Statistiques Liste des membres Hall of Fame Contact
© Prise2tete - Site d'énigmes et de réflexion.
Un jeu où seules la réflexion, la logique et la déduction permettent de trouver la solution.

Flux RSS de Prise2Tete Forum Jeux & Prise2Tete Test & Prise2Tete Partenariat et Publicité sur Prise2Tete