Enigmes

Forum dédié aux énigmes et à toutes formes de jeux de logique.

Déconnexion

Tu n'es pas identifié sur Prise2tete : s'identifier.

accueil Accueil forum Forum
[+]

 #1 - 10-12-2010 11:38:36

EfCeBa
Administrateur
Enigmes résolues : ∞+1
Messages : 22×5×313

Fréquences de traits et de point

Le site WildAboutMath organise un nouveau concours pour gagner une calculatrice Ti84.

Pour y participer, il faut regarder et comprendre cette vidéo en anglais :


Je retranscrit quelques passages essentiels :

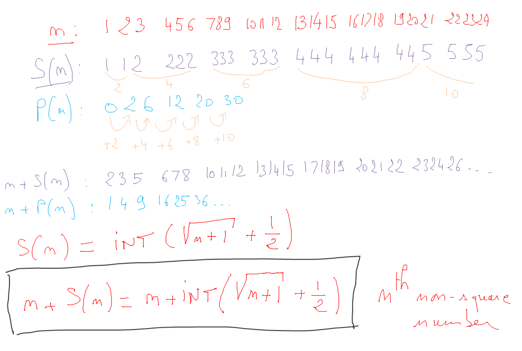
Soit une suite de nombres entiers croissants :
1 2 2 2 3 3 6 7 7 7 9 11 11 14 ...

Soit une seconde suite composée des fréquences d'apparition des nombres inférieurs à N.
Elle commence par le nombre de nombres de la suite strictement inférieur à 1 : 0
puis le nombre de nombres de la suite inférieur à 2 : 1, puis le nombre de nombres de la suite inférieur à 3 : 4, et ainsi de suite :
0 1 4 6 6 6 7 11 11 12 12 14 ...

Si on recommence cette étape avec cette nouvelle suite, on retrouve la première suite :
1 2 2 2 3 3 6 7 7 7 9 11 11 14 ...

Si on ajoute le rang de chaque nombre à sa valeur dans la première suite, on obtient :
2 4 5 6 8 9 13 15 16 ...
Si on ajoute le rang de chaque nombre à sa valeur dans la seconde suite, on trouve :
1 3 7 10 11 12 14 ...
On remarque que ces 2 dernières suites contiennent tous les nombres entiers.

On peut transformer la premiere suite en un diagramme composé de points et de traits.
././//.//...////../..
Soit P(n) le nombre de points précédant le trait n. (à gauche du nième trait)
P(n) = 1 2 2 2 3 3 6 7 7 7... (la première suite)
Soit Q(n) le nombre de traits précédant le point n.
Q(n) = 0 1 4 6 6 6 7 11 11 12 ... (la seconde suite)

De plus, encore une fois l'ensemble { P(n)+n ; Q(n)+n } représente l'ensemble des entiers naturels supérieur à 0.


L'exercice qui est demandé est de s'intéresser à une suite de départ très particulière :
2 3 5 6 7 10 11 12 ...
représentant les nombres entiers supérieurs à 1 qui ne sont pas des carrés parfaits pour trouver une formule permettant de définir le nième nombre qui n'est pas un carré parfait.

Vos réponses (en français) seront cachées ici jusqu'à la fin du concours, si vous voulez participez, envoyer votre réponse argumentée à mondaymathmadness at gmail dot com en anglais.

http://wildaboutmath.com/2010/12/09/ano … e-contest/

  • |
  • Répondre

#0 Pub

 #2 - 12-12-2010 10:07:02

franck9525
Elite de Prise2Tete
Enigmes résolues : 48
Messages : 1935
Lieu: 86310

fréquences se traits et de points

Done!


The proof of the pudding is in the eating.

 #3 - 24-12-2010 18:01:49

EfCeBa
Administrateur
Enigmes résolues : ∞+1
Messages : 22×5×313

Fréquences de trits et de points

Je ne sais pas si certains d'entre vous ont répondu à la question, directement sur le site. Le gagnant a proposé la solution :
[TeX]\lfloor 1/2 *(1 + sqrt{4*n-3}) \rfloor + n[/TeX]
http://wildaboutmath.com/images/CalculatorProblem2.pdf

http://wildaboutmath.com/2010/12/23/ti- … ay-winner/

 

Réponse rapide

Rédige ton message
| | | | Upload | Aide
:) :| :( :D :o ;) :/ :P :lol: :mad: :rolleyes: :cool:
Sécurité

Répondez (numériquement) à la petite énigme suivante : 

Un berger a 40 moutons, ils meurent tous sauf 18, combien en reste-t-il ?

Pied de page des forums

P2T basé sur PunBB
Screenshots par Robothumb

© Copyright 2002–2005 Rickard Andersson

Prise2Tete Forum Statistiques Liste des membres Hall of Fame Contact
© Prise2tete - Site d'énigmes et de réflexion.
Un jeu où seules la réflexion, la logique et la déduction permettent de trouver la solution.

Flux RSS de Prise2Tete Forum Jeux & Prise2Tete Test & Prise2Tete Partenariat et Publicité sur Prise2Tete