 |
#1 - 06-12-2014 10:28:42
- nodgim
- Elite de Prise2Tete
- Enigmes résolues : 0
- Messages : 3839
Somme d'immpairs
Bonjour à tous, Un petit problème pas bien méchant. Pour un nombre n donné, on se propose de calculer la somme SI(n) de 1 à n, mais en ôtant aux nombres pairs leur parité (pour 36--->9, pour 26--->13, etc). Exemple SI(10)=1+1+3+1+5+3+7+1+9+5=36.
Calculer SI(25469), par exemple, avec un crayon et un papier.
#2 - 06-12-2014 13:43:05
- cogito
- Expert de Prise2Tete
- Enigmes résolues : 48
- Messages : 593
Somme d'imairs
Bonjour 
On peut partitionner la somme des nombres de 1 à n en la somme des nombres impairs plus la somme des nombre pairs.
Dans SI(n) la somme des nombres impairs reste inchangé De plus nous avons 2+4+6+...+2k = 2*(1+2+3+...+k), comme le facteur 2 n'est pas compté, il suffit de calculer SI(k) et de l'ajouter à la somme des nombres impairs pour avoir le résultat final.
Soit donc Si(n) la somme des nombres impairs plus petit que n.
On sait que : * Si(2k)=k² * Si(2k+1)=(k+1)² On a également : * SI(1)=1 * SI(2k)=Si(2k)+SI(k) = k² + SI(k) * SI(2k+1)=Si(2k+1)+SI(k) = (k+1)² +SI(k)
Par exemple pour SI(10) nous avons :
SI(10)=5²+SI(5)=25+(2+1)²+SI(2)=25+9+1²+SI(1)=25+9+1+1=36 on retombe bien sur le même résultat.
Donc maintenant pour 25469 :
SI(25469) Spoiler : Détails du calcul =SI(2*12734+1) =12735²+SI(12734) =12735²+SI(2*6367) =12735²+6367²+SI(6367) =12735²+6367²+SI(2*3183+1) =12735²+6367²+3184²+SI(3183) =12735²+6367²+3184²+SI(2*1591+1) =12735²+6367²+3184²+1592²+SI(1591) =12735²+6367²+3184²+1592²+SI(2*795+1) =12735²+6367²+3184²+1592²+796²+SI(795) =12735²+6367²+3184²+1592²+796²+SI(2*397+1) =12735²+6367²+3184²+1592²+796²+398²+SI(397) =12735²+6367²+3184²+1592²+796²+398²+SI(2*198+1) =12735²+6367²+3184²+1592²+796²+398²+199²+SI(198) =12735²+6367²+3184²+1592²+796²+398²+199²+SI(2*99) =12735²+6367²+3184²+1592²+796²+398²+199²+99²+SI(99) =12735²+6367²+3184²+1592²+796²+398²+199²+99²+SI(2*49+1) =12735²+6367²+3184²+1592²+796²+398²+199²+99²+50²+SI(49) =12735²+6367²+3184²+1592²+796²+398²+199²+99²+50²+SI(2*24+1) =12735²+6367²+3184²+1592²+796²+398²+199²+99²+50²+25²+SI(24) =12735²+6367²+3184²+1592²+796²+398²+199²+99²+50²+25²+SI(2*12) =12735²+6367²+3184²+1592²+796²+398²+199²+99²+50²+25²+12²+SI(12) =12735²+6367²+3184²+1592²+796²+398²+199²+99²+50²+25²+12²+SI(2*6) =12735²+6367²+3184²+1592²+796²+398²+199²+99²+50²+25²+12²+6²+SI(6) =12735²+6367²+3184²+1592²+796²+398²+199²+99²+50²+25²+12²+6²+SI(2*3) =12735²+6367²+3184²+1592²+796²+398²+199²+99²+50²+25²+12²+6²+3²+SI(3) =12735²+6367²+3184²+1592²+796²+398²+199²+99²+50²+25²+12²+6²+3²+SI(2*1+1) =12735²+6367²+3184²+1592²+796²+398²+199²+99²+50²+25²+12²+6²+3²+2²+SI(1) =12735²+6367²+3184²+1592²+796²+398²+199²+99²+50²+25²+12²+6²+3²+2²+1 =12735²+6367²+3184²+1592²+796²+398²+199²+99²+50²+25²+12²+6²+3²+4+1 =12735²+6367²+3184²+1592²+796²+398²+199²+99²+50²+25²+12²+6²+9+5 =12735²+6367²+3184²+1592²+796²+398²+199²+99²+50²+25²+12²+36+14 =12735²+6367²+3184²+1592²+796²+398²+199²+99²+50²+25²+144+50 =12735²+6367²+3184²+1592²+796²+398²+199²+99²+50²+625+194 =12735²+6367²+3184²+1592²+796²+398²+199²+99²+2500+819 =12735²+6367²+3184²+1592²+796²+398²+199²+9801+3319 =12735²+6367²+3184²+1592²+796²+398²+39601+13120 =12735²+6367²+3184²+1592²+796²+158404+52721 =12735²+6367²+3184²+1592²+633616+211125 =12735²+6367²+3184²+2534464+844741 =12735²+6367²+10137856+3379205 =12735²+40538689+13517061 =162180225+54055750 =216235975
modulo les erreurs de calcul évidemment 
à noter que la somme "normale" ferait 324347715 on a donc gagner (ou perdu) 108111740 soit 100 millions à peu près.
Il y a sûrement plus simple.
#3 - 06-12-2014 15:11:04
- gwen27
- Elite de Prise2Tete
- Enigmes résolues : 49
- Messages : 6,193E+3
Somme d'imppairs
A mon avis, cela fait juste des suites imbriquées de nombres impairs
Donc, 1 3 5 7 ... -> 25469 Plus 1 3 5 7 ....-> 25469/2 = 12734 (12733) Plus 1 3 5 7 ...-> 12734/2 = 6367 Plus 1 3 5 7 ...-> 3183 Plus 1 3 5 7 ...-> 1591 Plus 1 3 5 7 ...-> 795 Plus 1 3 5 7 ...-> 397 Plus 1 3 5 7 ...-> 198 (197) Plus 1 3 5 7 ...-> 99 Plus 1 3 5 7 ...-> 49 Plus 1 3 5 7 ...-> 24 (23 ) Plus 1 3 5 7 ...-> 12 (11) Plus 1 3 5 7 ...-> 6 (5) Plus 1 3 5 7 ...-> 3 Plus 1 3 5 7 ...-> 1
210 118 975 ?
Quelques doutes plus tard sur les calculs : 216 235 975
#4 - 06-12-2014 19:34:01
- nodgim
- Elite de Prise2Tete
- Enigmes résolues : 0
- Messages : 3839
somme d'impzirs
Sans surprise, c'est OK pour Cogito et Gwen.
#5 - 07-12-2014 01:40:18
- shadock
- Elite de Prise2Tete
- Enigmes résolues : 39
- Messages : 3334
Sommme d'impairs
Je ne comprends pas comment du calcul ta somme en enlevant aux nombres pairs leur parité. En prenant le même exemple pour n=10 tel que je comprends l'énoncé il faut faire ça :
SI(10)=1+1+3+3+5+5+7+7+9+9... ôter un à tous les nombres pairs pour qu'ils deviennent impairs et perdent ainsi leur parité ... 
"L'expérience est une lanterne qui n'éclaire que celui qui la porte." L-F. Céline
#6 - 07-12-2014 09:50:37
- nodgim
- Elite de Prise2Tete
- Enigmes résolues : 0
- Messages : 3839
Somem d'impairs
Shadock, j'ai donné 2 exemples : 36---->9 et 26----->13. On ôte la parité des nombres en divisant par 2 autant de fois que nécessaire.
#7 - 07-12-2014 10:29:27
- unecoudée
- Professionnel de Prise2Tete
- Enigmes résolues : 0
- Messages : 319
Somm d'impairs
salut à tous.
ma réponse , si je n'ai rien oublié en route :
1 + 2² + 3² + 6² + 12² + 25² + 50² + 99² + 199² + 398² + 796² + 1592² + 3184² + 6367² + 12735² = 216235975
#8 - 07-12-2014 14:46:58
- gilles355
- Professionnel de Prise2Tete
- Enigmes résolues : 49
- Messages : 421
qomme d'impairs
Salut, pour l'instant j'ai trouvé que S(2^n) = (4^(n) - 1)/3 +1
Je cherche encore pour le reste.
#9 - 07-12-2014 14:58:21
- Franky1103
- Elite de Prise2Tete
- Enigmes résolues : 49
- Messages : 3238
- Lieu: Luxembourg
somme s'impairs
J’additionne d'abord tous les nombres impairs de 1 à 25469, qui est la moyenne de ces deux extrêmes au carré, soit 12735^2. Je divise ensuite les nombres qui restent par 2 et je procède de la même manière jusqu’à finir sur 1. La somme cherchée est donc: 12735^2 + 6367^2 + 3184^2 + 1592^2 + 796^2 + 398^2 + 199^2 + 99^2 + 50^2 + 25^2 + 12^2 + 6^2 + 3^2 + 2^2 + 1^2 = 216 235 975
#10 - 07-12-2014 18:00:50
- nodgim
- Elite de Prise2Tete
- Enigmes résolues : 0
- Messages : 3839
Somme d''impairs
2 nouvelles réponses correctes pour Unecoudée et Francky1103, bravo !
Pour Gilles355: c'est bon, mais tu ne trouveras pas une réponse aussi synthétique pour un nombre quelconque.
#11 - 07-12-2014 18:50:36
- Sydre
- Professionnel de Prise2Tete
- Enigmes résolues : 15
- Messages : 245
Somme d'impiars
SI(n) est une somme de sommes d'impairs consécutifs.
Sachant que la somme des k premiers impairs vaut k^2 on en déduit que SI(n) se met sous la forme d'une somme de carrés.
En plus de la première somme, on démarre une nouvelle somme d'impairs consécutifs à chaque puissance de 2.
La somme d'impairs consécutifs d'ordre k comporte [1/2+n/2^k] termes. Ou [] représente la fonction partie entière.
Pour calculer SI(n) il suffit donc de :
- Déterminer p, la puissance de 2 la plus grande qui minore n.
- Calculer SI(n) = [1/2+n/2]^2+...+[1/2+n/2^(p+1)]^2
Pour SI(25469) cela donne :
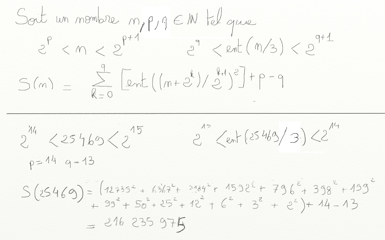
- p = 14
- SI(25469) = 12735^2+6367^2+3184^2+1592^2+796^2+398^2+199^2+99^2+50^2+25^2+12^2+6^2+3^2+2^2+1 = 216235975

#12 - 07-12-2014 20:53:34
- scarta
- Elite de Prise2Tete
- Enigmes résolues : 49
- Messages : 1986
Somme d'mipairs
Si on part de la somme totale, il faut oter la moitié des multiples de 2 mais pas de 4, 3/4 des multiples de 4 mais pas de 8, etc... Ou plus simplement, otons la moitié pour tous les nombres pairs, le quart des multiples de 4, etc... Pour un nombre de la forme (2P+1)*2^n, on en aura oté 1/2 + 1/4 + ... soit (2^n-1 + 2^n-2 + ... +1)/2^n = (2^n-1)/2^n
Pratiquement, on part de N(N+1)/2, puis on pose X=N. Tant que X > 0, on ote à notre résultat E(X/2)E(X/2 + 1)/2 et on pose X = E(X/2), avec E l'arrondi à l'entier inférieur ou égal
En plus ça se factorise bien si on le fait à la main, pour éviter des calculs barbares. Bref, on trouve 324347714
#13 - 07-12-2014 22:35:57
- gilles355
- Professionnel de Prise2Tete
- Enigmes résolues : 49
- Messages : 421
Somme d'impairrs
216 235 975
Alors j'ai trouvé une formule à voir dans la pièce jointe. Je l'ai testé pour les 49 premiers nombre et elle marche, j'espère ne pas avoir fait d'erreur de calcul pour le nombre 25469 mais je suis sûr de la formule.
 http://www.prise2tete.fr/upload/gilles355-eninb.jpg
#14 - 08-12-2014 13:01:58
- scarta
- Elite de Prise2Tete
- Enigmes résolues : 49
- Messages : 1986
qomme d'impairs
Me suis planté dans mon calcul : 216235975
Autre approche que celle que j'ai déjà donnée : on compte les nombres impairs (somme = E(N/2)², puis on ajoute la moitié des nombres de la forme 2*(2p+1), donc encore une somme d'impairs, etc... Au final, on part d'un nombre, on divise par 2, on arrondit, et on ajoute le carré au total, puis on continue avec la moitié de ce nombre, ... Au final, on calcule donc 12735²+6367²+3184²+1592²+796²+398²+199²+99²+50²+25²+12²+6²+3²+2²+1² Et on trouve le même résultat (ce qui m'a au passage rendu service, puisque j'ai vue que le m'étais planté sur celui du dessus)
#15 - 08-12-2014 19:49:58
- nodgim
- Elite de Prise2Tete
- Enigmes résolues : 0
- Messages : 3839
Somme d'imapirs
Bravo à Sydre, Scarta et Gilles355 qui ont aussi trouvé le bon résultat !
Une question subsidiaire: Vers quoi tend le rapport SI(n)/S(n), S(n) étant la somme de 1 à n, qiuand n tend vers l'infini ?
#16 - 08-12-2014 22:22:59
- Franky1103
- Elite de Prise2Tete
- Enigmes résolues : 49
- Messages : 3238
- Lieu: Luxembourg
domme d'impairs
Question subsidiaire: Désolé, mais je ne sais pas écrire avec latex, qui d’ailleurs marche mal  SI(n) = Somme[(n/2^n)²] = n².Somme[2^(-2n)] et Somme[2^(-2n)] tend vers 1/3 quand n tend vers +oo S(n) = n.(n+1)/2 = n².(1+1/n)/2 et (1+1/n)/2 tend vers 1/2 quand n tend vers +oo Donc SI(n)/S(n) tend vers 2/3 quand n tend vers +oo
Edit: On le voit d'ailleurs sur l'exemple, puisque 25469 est presque l'infini  SI(25469) = 216 235 975 et S(25469) = 324 347 715, avec un rapport de presque 2/3
#17 - 09-12-2014 09:02:24
- unecoudée
- Professionnel de Prise2Tete
- Enigmes résolues : 0
- Messages : 319
spmme d'impairs
salut.
le rapport SI(n)/S(n) doit tendre vers 2/3 lorsque n tend vers l'infini
#18 - 09-12-2014 18:45:04
- nodgim
- Elite de Prise2Tete
- Enigmes résolues : 0
- Messages : 3839
Somme d'imapirs
Bravo à tous pour vos réponses. Oui, SI(n)/S(n) tend bien vers 2/3. Autrement dit, la contribution des facteurs 2 est dans la proportion de 1/3 du total.
Mots clés des moteurs de recherche
|
 |