
Forum dédié aux énigmes et à toutes formes de jeux de logique. | Déconnexion |
|
Tu n'es pas identifié sur Prise2tete : s'identifier. Accueil
Forum
|
![]() |
#1 - 23-10-2014 19:43:03
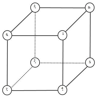
Cubbe magique
#0 Pub#2 - 23-10-2014 22:43:04#3 - 24-10-2014 08:50:05#4 - 24-10-2014 10:44:08
Cubee magique100% de bonne(s) réponse(s), c'est à dire 1 sur 1 #5 - 24-10-2014 13:04:27
cuve magiqueIl y a 3 solutions. #6 - 24-10-2014 14:33:21
cube magiqieSalut ! #7 - 25-10-2014 14:15:12#8 - 25-10-2014 15:36:04#9 - 25-10-2014 16:15:02
Cube magiqqueBonjour Il y a sûrement plus simple. #10 - 26-10-2014 10:51:55
Cube magiqqueLa valeur 8 ne peut se trouver que sur une des 3 arêtes provenant de 1. #11 - 26-10-2014 13:42:59
Cube mgiquegwen27, titoufred, golgot59, cogito, Jackv: c’est bien ça. #12 - 26-10-2014 21:00:09
cube magiqurMerci à tous pour votre participation. La somme d’une face fait effectivement 18. On trouvera donc sur deux faces opposées: Réponse rapideSujets similaires
Mots clés des moteurs de recherche |
![]() | |||||||||||||||||||||||||||||||||
| Prise2Tete Forum Statistiques Liste des membres Hall of Fame Contact | |||||||||||||||||||||||||||||||||||