
Forum dédié aux énigmes et à toutes formes de jeux de logique. | Déconnexion |
|
Tu n'es pas identifié sur Prise2tete : s'identifier. Accueil
Forum
|
![]() |
#1 - 24-11-2020 17:00:34
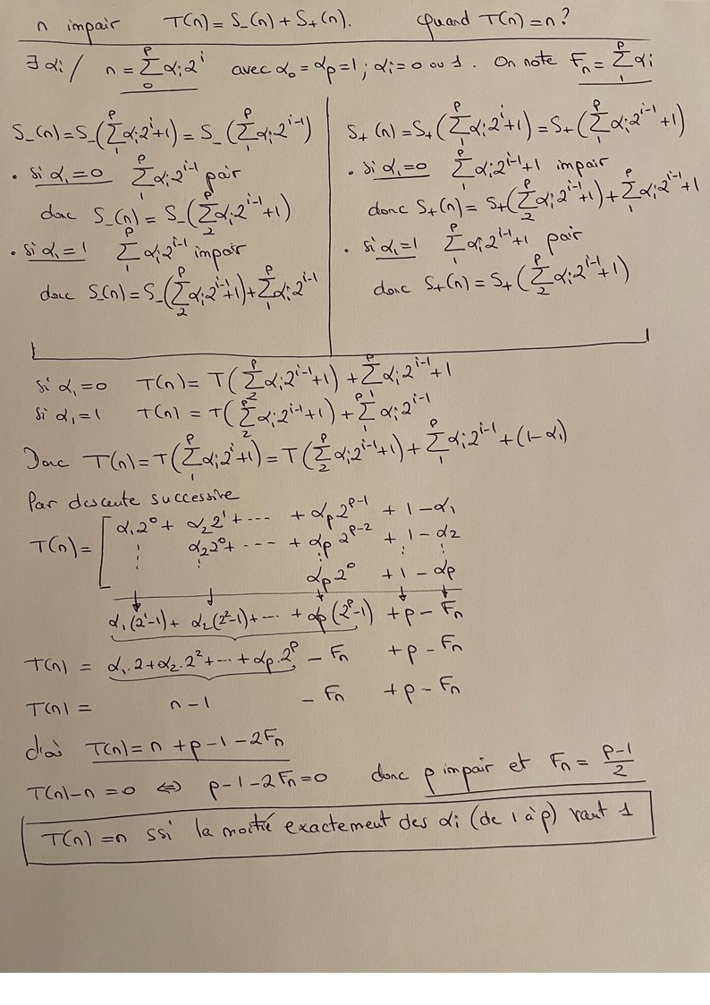
Nombress équilibrés.Bonjour @ tous.
#0 Pub#2 - 02-12-2020 19:31:20
Nombres équliibrés.Bonjour Nodgim, je découvre hier soir ton problème, en passant un peu par hasard je dois dire. J'ai failli être hors limite, mais vu l'enthousiasme général, pas si structurant... #3 - 04-12-2020 08:27:28#4 - 04-12-2020 09:45:15#5 - 05-12-2020 07:53:17#6 - 05-12-2020 10:51:47
Nombress équilibrés.Yes. #7 - 05-12-2020 17:05:12
Nombres équliibrés.Perso, je l'ai fait en comparant avec la somme des nombres pairs et impairs obtenus par division par 2 jusqu'à 1. Cette somme est elle-même une question qui mérite une petite recherche. #8 - 08-12-2020 00:01:55
nombres équikibrés.Salut Nodgim, Réponse rapideSujets similaires
|
![]() | ||||||||||||||||||||||||||||||
| Prise2Tete Forum Statistiques Liste des membres Hall of Fame Contact | ||||||||||||||||||||||||||||||||