 |
#1 - 29-03-2013 17:36:21
- titoufred
- Elite de Prise2Tete
- Enigmes résolues : 20
- Messages : 1749
Combien de lancers de dé avaant de... ?
1) En moyenne, combien de fois faut-il lancer un dé pour obtenir un 6 ?
2) En moyenne, combien de fois faut-il lancer un dé pour obtenir 2 fois 6 d'affilée ?
3) En moyenne, combien de fois faut-il lancer un dé pour obtenir n fois 6 d'affilée ?
#2 - 29-03-2013 17:45:04
- Spirou
- Expert de Prise2Tete
- Enigmes résolues : 49
- Messages : 501
Combein de lancers de dé avant de... ?
1) 6 fois. 2) 72 fois? 
#3 - 29-03-2013 19:25:16
- SabanSuresh
- Elite de Prise2Tete
- Enigmes résolues : 45
- Messages : 1951
- Lieu: Paris
Combien de lanncers de dé avant de... ?
On peut pas établir une moyenne car cela dépend du hasard, des circonstances ... Du moins, c'est ce que je crois.
#4 - 29-03-2013 19:33:24
- titoufred
- Elite de Prise2Tete
- Enigmes résolues : 20
- Messages : 1749
Combien de lancers de dé vaant de... ?
@Spirou : 1) oui. une idée de pourquoi c'est le cas ? 2) non.
@SabanSuresh : en langage mathématique, c'est ce qu'on appelle une espérance mathématique.
#5 - 29-03-2013 19:42:25
- Spirou
- Expert de Prise2Tete
- Enigmes résolues : 49
- Messages : 501
Combien de lancers de dé vaant de... ?
1) le de a 6 faces dont sur chaqu'une il y a un autre chiffre. Il y a donc une chance sur 6 de tomber sur 6. Il faut le lancer en moyenne 6 fois. 2) Il y a une chance sur 6 de tomber sur 6. Donc pour en avoir 2 d'affile , il faut 6*6 soit 36 lancer. 
#6 - 29-03-2013 20:14:02
- SabanSuresh
- Elite de Prise2Tete
- Enigmes résolues : 45
- Messages : 1951
- Lieu: Paris
Combien de lancers de dé avnat de... ?
Ok donc : 1) 6 lancers 2) 6² = 36 lancers 3) 6^n lancers
Voilà et j'espère que j'ai bon.
#7 - 30-03-2013 00:09:12
- titoufred
- Elite de Prise2Tete
- Enigmes résolues : 20
- Messages : 1749
Combiien de lancers de dé avant de... ?
@Spirou : 1) c'est un début d'explication. 2) non
@Saban : 1) oui, pourquoi ? 2) & 3) non
#8 - 30-03-2013 10:08:21
- godisdead
- Expert de Prise2Tete
- Enigmes résolues : 22
- Messages : 747
combien de lancers de dé zvant de... ?
1) Je reformule la question en : à partir de combien de jet de dé, la probabilité d'avoir un 6 est supérieur à 0,5 je dirais 4 fois.
Pour les autres questions, je ne vois pas le modèle mathématique à utiliser.
#9 - 30-03-2013 10:31:28
- SabanSuresh
- Elite de Prise2Tete
- Enigmes résolues : 45
- Messages : 1951
- Lieu: Paris
combien de lancers de dé avabt de... ?
a) Je dis 6 car c'est le nombre de possibilités d'avoir une combinaison différente en un coup. b) et c) Je trouve pas ...
#10 - 30-03-2013 14:25:53
Combin de lancers de dé avant de... ?
1) 1 chance sur 6 donc 6 lancés 2) 1 chance sur 6 x 1 chance sur 6 = 1/6x1/6 =1/36= 36 lancés 3) pour 1 lancé il faut 6 coup, pour 2(d'affilé) il en faut 36 (soit 6x6) pour n d'affilé il en faut 6^n lancés, par exemple pour avoir 3 "6" d'affilé il faudra 6^3=216 lancé en moyenne
#11 - 30-03-2013 22:18:45
- golgot59
- Elite de Prise2Tete
- Enigmes résolues : 48
- Messages : 1494
- Lieu: Coutiches
combien de lancers dr dé avant de... ?
1 chance sur 6 de faire un 6.
Donc 5/6 de ne pas en faire un.
Après 2 lancers, (5/6)*(5/6) de ne pas faire de 6
Après n lancers, (5/6)^n de ne pas faire de 6.
On s'intéresse au moment où (5/6)^n=1/2 c'est à dire n(ln5-ln6)=ln1-ln2, soit : n=ln2/(ln6-ln5)=3.8 environ
Pour deux 6 d'affilée, je réfléchi...
#12 - 30-03-2013 23:48:06
- golgot59
- Elite de Prise2Tete
- Enigmes résolues : 48
- Messages : 1494
- Lieu: Coutiches
Combien de lanceers de dé avant de... ?
Pfff, j'aurai dû m'en douter, venant de toi Titou, ça ne pouvait être que compliqué 
Pour deux 6 d'affilé, voilà comment j'ai procédé : j'ai commencé par réfléchir sur 1 seul 6.
La certitude de faire un 6 après n lancés se décompose par : 1/6 après le 1er lancer 5/6*1/6 pour le 2ème lancer, car il faut ne pas avoir fait un 6 au 1er. 5/6*5/6*1/6 pour le 3ème lancer, etc.
Donc après n lancers, la probabilité de faire un seul 6 (puisqu'on ne s'intéresse qu'au premier) est de 1/6+5/6²+5²/6^3+5^3/6^4+...
En appliquant, on trouve bien qu'après 3 lancers la probabilité n'est que de 91/216=0.421 environ, donc pas assez Après 4 lancers : 671/1296=0.533 Bingo.
Pour deux 6 d'affilé, c'est beaucoup plus compliqué !
Après 2 lancers, il faut deux 6 donc 1/36 Après 3 lancers, il faut "raté" le 1er lancer, donc 5/6*1/6*1/6=5/216 Après 4 lancers, il faut soit rater les 2 premiers, soit réussir le premier mais rater le 2ème : xx66 6x66, donc 5/6*5/6*1/6*1/6 + 1/6*5*6*1/6*1/6 = 30/6^4
Après 5 lancers, au choix : xxx66 x6x66 6xx66 Ce qui donne (5^3+5^2+5^2)/6^5
Après 6 lancers : xxxx66 xx6x66 x6xx66 6xxx66 6x6x66 Ce qui donne : (5^4+3*5^3+5^2)/6^6
Petit point sur ce que ça donne après 6 lancers, on ajoute tout ça et on obtient à peine 0.119, on est évidemment loin du compte.
7 lancers : xxxxx66 xxx6x66 xx6xx66 x6xxx66 6xxxx66 x6x6x66 6xx6x66 6x6xx66
8 lancers : xxxxxx66 xxxx6x66 xxx6xx66 xx6xxx66 x6xxxx66 6xxxxx66 xx6x6x66 x6xx6x66 6xxx6x66 x6x6xx66 6xx6xx66 6x6xxx66 6x6x6x66
Et je ne vois pas de moyen de résumer tout ça par une formule qui va bien. Je vais continuer de chercher... 
#13 - 31-03-2013 11:24:01
- ksavier
- Professionnel de Prise2Tete
- Enigmes résolues : 49
- Messages : 166
combien de lancers de dé abant de... ?
Je dirais [latex]\frac{2\times6^n+1}{3}[/latex] lancés en moyenne pour obtenir [latex]n[/latex] six.
Soit environ 4 lancés pour pour un l'obtention d'un six, et environ 24 lancés pour obtenir deux six. ( cela ne me paraît pas grossièrement faux, on doit s'attendre à trouver moins de [latex]6^n[/latex] lancés qui donnent en moyenne [latex]n[/latex] six avec certitude)
#14 - 31-03-2013 21:09:08
- titoufred
- Elite de Prise2Tete
- Enigmes résolues : 20
- Messages : 1749
Combien de lancers de dé avant de... ??
@godisdead & golgot59 : il ne faut pas confondre le nombre de coups moyen avant d'obtenir un 6 avec le nombre de coups à partir duquel la probabilité d'avoir un 6 est supérieure à 0,5. Je vous invite à faire une recherche sur ce qu'est l'espérance mathématique d'une variable aléatoire.
@ksavier : ce n'est pas la bonne formule.
#15 - 31-03-2013 23:11:51
- franck9525
- Elite de Prise2Tete
- Enigmes résolues : 48
- Messages : 1935
- Lieu: 86310
Cobmien de lancers de dé avant de... ?
question 1/ 1-(5/6)^k proche de 50% donne k=4 fois
question 2/ Les chances d'avoir deux 6 de suite sont de 1/36 En moyenne il faut donc 1-(35/36)^k proche de 50% soit (35/36)^k=1/2 soit k =log2/(-log35+log36) =24.6 donc 25 fois
question 3/ n fois de suite un 6? k=log2/(nlog6-log(6n-1))
The proof of the pudding is in the eating.
#16 - 01-04-2013 01:01:15
- titoufred
- Elite de Prise2Tete
- Enigmes résolues : 20
- Messages : 1749
comvien de lancers de dé avant de... ?
@franck : même remarque qu'au-dessus: ce que l'on veut calculer c'est l'esperance mathématique E(X) d'une certaine variable aléatoire X. Pour la question 1, X est le nombre de lancers jusqu'à l'apparition d'un 6. E(X) est donné par la somme des [latex]n \times p(X=n)[/latex].
#17 - 01-04-2013 11:49:21
- ksavier
- Professionnel de Prise2Tete
- Enigmes résolues : 49
- Messages : 166
combien se lancers de dé avant de... ?
En moyenne, 6 lancers pour obtenir un 6. En moyenne, 42 lancers pour obtenir deux 6 à la suite. En moyenne, [latex]\frac{6}{5}(6^n-1)[/latex] lancers pour obtenir [latex]n[/latex] six à la suite.
#18 - 01-04-2013 18:03:35
- titoufred
- Elite de Prise2Tete
- Enigmes résolues : 20
- Messages : 1749
combien de lancers de dé avant fe... ?
Oui bravo ksavier !
Tu sais pourquoi ?
#19 - 01-04-2013 19:43:40
- MthS-MlndN
- Hors d'u-Sage
- Enigmes résolues : 49
- Messages : 12,414E+3
- Lieu: Rouen
combien de lancers de dé avant se... ?
titoufred a écrit:Tu sais pourquoi ?
Non, il a répondu au pif 
Podcasts Modern Zeuhl : http://radio-r2r.fr/?p=298
#20 - 01-04-2013 20:07:59
- titoufred
- Elite de Prise2Tete
- Enigmes résolues : 20
- Messages : 1749
Combien de lancers de dé avant de.... ?

Le sens de ma question était de savoir si c'était juste une conjecture ou s'il avait la démonstration.
Pour démontrer le 1), il y a pas mal de façons de voir et c'est déjà assez intéressant je trouve. Je vous propose de vous essayer à démontrer le 1) pour l'instant.
#21 - 01-04-2013 21:05:58
- ksavier
- Professionnel de Prise2Tete
- Enigmes résolues : 49
- Messages : 166
combien de lancrrs de dé avant de... ?
#22 - 01-04-2013 21:38:38
- titoufred
- Elite de Prise2Tete
- Enigmes résolues : 20
- Messages : 1749
Combien de lancers de dé avatn de... ?
Joli !
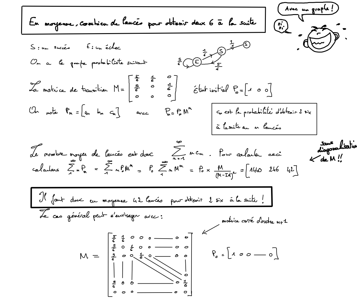
Tu as fait une démonstration complètement différente de la mienne. Je ne sais pas si on peut l'étendre facilement au cas n quelconque avec l'inversion de la matrice M-Id ? En tout cas, bravo !
#23 - 01-04-2013 22:04:36
- titoufred
- Elite de Prise2Tete
- Enigmes résolues : 20
- Messages : 1749
Coombien de lancers de dé avant de... ?
Une petite remarque au passage sur un truc que j'ai trouvé assez rigolo :
Lorsqu'on lance un dé deux fois de suite, la probabilité de faire 6 puis 5, est de 1/36, et l'on montre assez facilement que le nombre moyen de lancers avant de faire 6 puis 5 est de 36 lancers.
Cependant, si la probabilité de faire 6 puis 6 est également de 1/36, le nombre moyen de lancers avant de faire 6 puis 6 est, comme ksavier vient de le démontrer, de 42 lancers.
Cela m'a quelque peu déconcerté pendant un temps...
#24 - 01-04-2013 22:34:21
- gwen27
- Elite de Prise2Tete
- Enigmes résolues : 49
- Messages : 6,209E+3
combien de lancers de dé avanr de... ?
Je trouve ça surprenant : On devrait obtenir 6 puis 6 plus facilement que 6 puis 5 vu qu'on oublie l'ordre .
et l'on montre assez facilement
J'adore ce genre de sésame  Tu es sûr de toi ?
#25 - 01-04-2013 22:47:12
- titoufred
- Elite de Prise2Tete
- Enigmes résolues : 20
- Messages : 1749
colbien de lancers de dé avant de... ?
Hihi, oui c'est assez surprenant au départ, mais en réfléchissant un peu, on voit pourquoi "66" va être plus long à venir que "65".
Pour ce qui est de la démonstration que "65" arrive en moyenne au bout de 36 lancers, c'est en cherchant une démonstration pour le 1) que j'ai trouvé une façon simple de voir les choses, qui peut aisément se généraliser.
Mots clés des moteurs de recherche
|
 |